仕事率:単位時間当たりの仕事

天下り的に説明すると

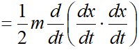
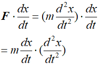
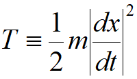
運動エネルギー(T)は

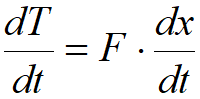
運動エネルギーの時間の変化率=仕事率
page 1
page 3
page 1
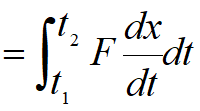
運動エネルギーの変化量=仕事量