一定

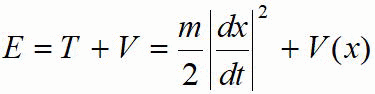
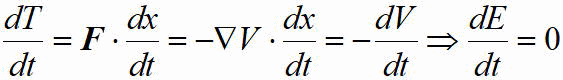
全エネルギー(E)は一定である

運動可能な領域を決める条件

E

E

go menyu
page 2
page 1