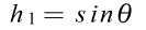
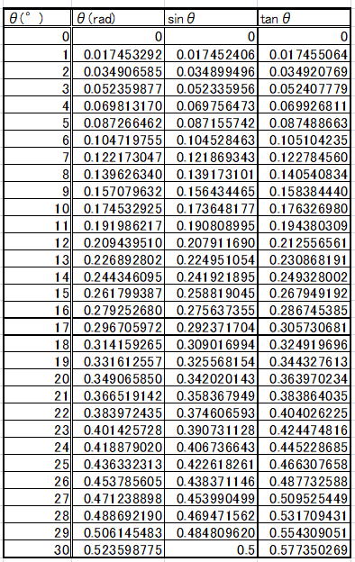
直角三角形の角度と対辺の関係
単位円において斜辺の長さはc=1 
なので
弧度法で角度θは単位円の円周
を2π(rad)とするので
ゆえに
θを十分小さくとれば 
表からどこまでの精度を要求するかで判断すればい。
もどり
2ページ
単位円において底辺の長さはd=1
なので
図から明らかに