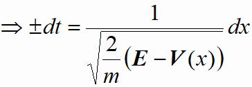
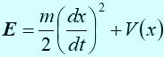
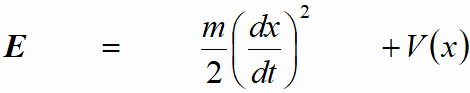
1次元運動
 全エネルギー
運動エネルギー
 位置エネルギー
つまり、速度は
page 4
page 2
page 2