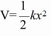
Vでとくと
例:調和振動子

E

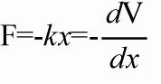
フックの法則より
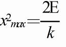
の範囲で移動する
最大でもV=Eなので最大値は

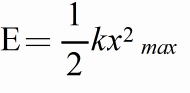
とする

(★3)より
page 5
page 3
page 4
link rel="stylesheet"herf=test.css">