両辺を積分すると
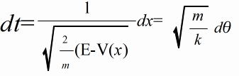
であったので
ところでxは
角速度
page 5
page 6
page 4