単振り子のプロパティ
バークレー物理学コース 
力学 上巻248page
mechanics 192 page
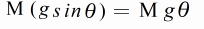
M:剛球の質量
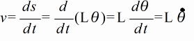
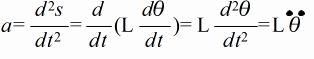
L:腕の長さ
θ:振れ角
S:振れの円弧の長さ
g:重力加速度
(θの減少する方向)
θが十分小さければ
page 7
となり
page 6
page 5
(赤色矢印)