U(r)を有効ポテンシャルという
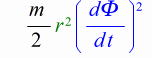
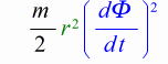
について考える
ここで
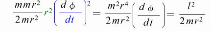
と比べると
を掛ける
の分母・分子に
よって
page 10
page 9
To Menyu