万有引力において
もし一方が他方に比べて十分大きかったら、
大きい方(重い方)
の質点は原点に静止しているとみなされる。
角運動量保存(重力は中心力)
となる。
位置xの微少変化Δxの時間微分は
速度となるのでその成分は
は一定
r方向の
rとは垂直の
page 9
page 10
page 8
ピタゴラスの定理によって
と表せる。
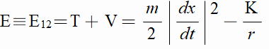
運動エネルギTは 
であることに注意する
上記Eに代入すると
となる