2質点系のエネルギー(万有引力)
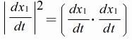
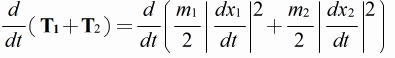
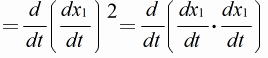
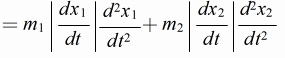
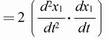
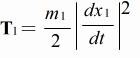
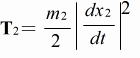
運動エネルギー
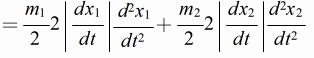
両者の運動エネルギーをたす
全エネルギー保存:
page 9
page 8
page 6
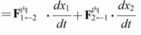
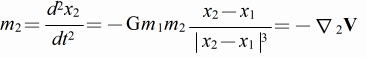
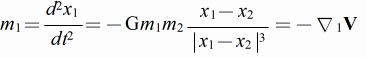
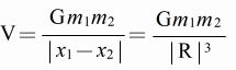
位置エネルギー